12月11日、新知創造学際ハブの「金属製考古資料分析ユニット」、通称「金属遺物ユニット」の第10回定期研究会がオンラインで開催されました。
今回の話題提供者は杉山 和正 氏で、テーマは「遺物の分析に使用が想定される分析機器の試行について」です。杉山氏は、金属材料研究所(金研)の名誉教授で専門は物質科学です。今回はX線などの分析装置を使った遺物の分析について話題提供しました。

金属遺物ユニットとは
学際ハブの「ユニット」とは、学際ハブで繋がる多くの分野の研究者たちがテーマを絞って情報を共有し議論する場です。
この金属遺物ユニットは、東北大学 総合学術博物館の藤澤 敦 教授が幹事となって、原則第二木曜日の16時30分から1時間30分の予定で定期研究会を開催しています。
さまざまな分析法
EPMA分析法
金研にある装置です。どこの組織にどういう元素があるかを特定するのに便利です。電子線を利用して内殻電子の励起し、試料から出る特性X線を測定する方法です。電子線を直径1 μm程度に絞って照射することで、微小領域の構成元素の分析ができ、元素マッピングを行うこともできます。試料に電子線を当てるとさまざまな相互作用が起きますが、EPMAでは特性X線のほか、二次電子や反射電子、吸収電子の信号を検出できます。
深さ方向には1 μm程度までの情報を得られます。ただし、水平方向に一様であることを仮定して解析することになるので、数μm幅しかない資料の場合は注意が必要です。
EPMAが採用している波長分散型X線分光器(WDS)の方が、分光結晶を使い精度良く検出します。エネルギー分散型X線分光器(EDS)に比べて軽元素および重元素に対する感度が高いという特徴があります。定量分析には向いていますが、試料のダメージも大きくなります。

SEM-EDS
金研にある装置です。試料に電子線を当てて、出てきた特性X線を直接半導体検出器で検出します。走査型電子顕微鏡(SEM)で表面を観察し、SEM像を見ながら分析エリアを選んで元素分析(EDS)ができます。EPMA同様に元素マッピングが可能です。電気を通す資料であれば特に前処理も不要で便利ですが、元素が分かっても酸化物なのか金属なのかは分からないのが難点です。
SEM-EDSを用いた分析については、第8回研究会で藤澤敦氏が情報提供しています。

赤点が上、 青点が下のスペクトルに対応する
X線回折法(XRD)
結晶構造であれば同じ模様が無限に並んでいると仮定でき、結晶にX線を当てることで結晶面の間隔が分かり、結晶構造解析ができます。結晶構造が分かると金属の種類や分子構造が分かります。

レーザ誘起ブレークダウン分光法(LIBS)
LIBSは、Laser Induced Breakdown Spectroscopyの略です。レーザーのパルス波をサンプルに照射し、発生するプラズマの波長を分光器で分解して、波長ごとの光強度を分析することで含有する元素成分を特定する元素分析手法です。
資料を少しずつ掘りながら分析ができます。コインでは20回で50 μm程度の深さの穴が開きました。


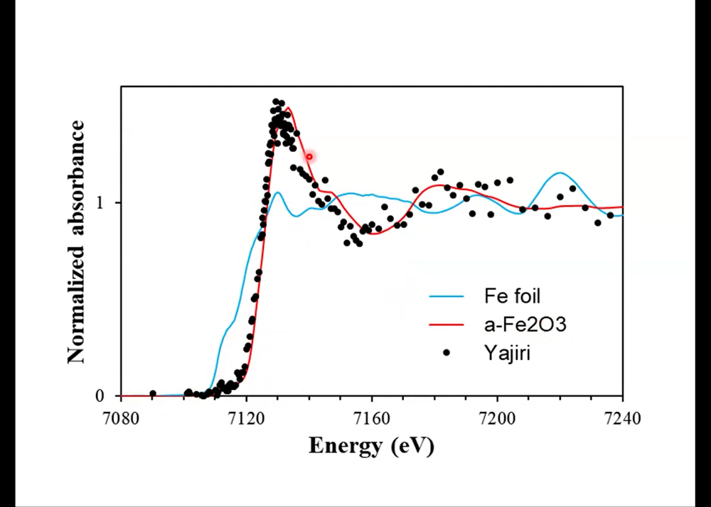
吸収スペクトル法(XAFS)
着目する元素周囲の構造情報は、X線を当てて吸収するエネルギー量の変化によって知ることができます。X線のエネルギーを少しずつ変化させたとき、吸収強度が大きく変化するところを吸収端と呼びます。そのスペクトルを読み取ることで、特定の元素の酸化数や元素周囲の三次元の構造情報が分かります。
X線のエネルギーを段階的に変える実験は、放射光施設でできます。

横軸はX線のエネルギー、縦軸はX線の吸収度
実際の分析例
ローマ時代のコインと、現代のチェコのコインの分析例、遺跡から出土した耳環(じかん)の分析例を紹介しました。耳環の資料は、第8回の研究会で藤澤氏より紹介されたものと同じです。また、出土地不明のやじり(東北大学 考古学研究室所蔵)も分析しました。
コイン
X線回折とコインに微小な穴を開けながらを行うLIBS分析を行った例が紹介されました。


耳環
場所によって見え方が違うので、エリアに分けてSEM-EDSとX線回折を組み合わせて分析した例です。
金環は黄銅の上に金メッキしたものであることが判明しました。銀環については、表面に金と銀の合金を巻いているようです。金と銀が半々のところ、銀が多くて金が少ない領域は、融かして作っていないことが想像できます。例えば、叩くと合金化するのでふりかけて叩いて作ったなどです。


やじり
出土地不明のやじりです。錆びの問題があり、表面だけ見ていると見たいものが見えないという資料をSEM-EDSおよびXAFS(放射光)で分析した例が紹介されました。酸化物の中に、錫と銅と鉛が見えているので青銅で、それぞれの酸化の度合いが違って表面がこう見えるのかと思われますが、XAFS法で調べてみたら、鉄の酸化物であることが分かりました。


議論
話題提供の後、参加者からさまざまな質問が寄せられました。
LIBS分析について、考古学者から「1回に掘れる深さはどのくらいか、どのくらい穴が開くのか」という質問がありました。分析した場所の周りが汚染されるかもしれないという話になりました。
別の考古学者からは「やじりの部位を選んで金属が見えているところを分析すると見えるようになるのでは?と思いました」というコメントもありました。
また、物理学の研究者から「XRDで見る場合、照射のビーム径はどのくらい?」、技術者から「SEM-EDSとマイクロXRDをどのように使い分けるのか」という質問がありました。
最後に、杉山氏から「X線に関わる分析なら何でもやるのでサンプルを持って相談に来てください」との心強い言葉がありました。
次回の開催について
次回は4月23日(木)16時30分からの予定です。
学際ハブの活動に関心を持ってくださる研究者で、金属遺物ユニットに参加ご希望の方は、学際ハブ推進室までご連絡をお願いします。
※Googleフォームが立ち上がりますので、[お問い合わせ項目]では「研究会等イベントについて」を選択し、[お問い合わせ内容]に「研究会参加希望」とお書きください。
関連記事・ページ
- 2025.12.02 金属遺物ユニット研究会「モンゴルの黒い青銅器」を開催しました
- 2025.09.30 金属遺物ユニット研究会「金研機器を用いた耳環の分析」を開催しました
- 2025.08.22 金属遺物ユニット研究会「青銅器のサプライチェーン」を開催しました
- 2025.07.01 金属遺物ユニット研究会「大阪の鉄生産遺跡」を開催しました
- 2025.05.02 金属遺物ユニット研究会「モンゴルの金属器」を開催しました
- 2024.12.12 「第2回金属遺物ユニット研究会」オンライン開催レポート
- 2024.11.14 学際ハブの研究会「ユニット」が始動:初のユニット「金属製考古資料分析ユニット」の第一回研究会が東北大学総合学術博物館からのオンライン中継で開催されました
- 金属遺物ユニットのページ(パスワードをご存知の方のみアクセスできます)